双1,6-亚己基三胺五甲叉膦酸钠 BHMTPh·PN (Na2)
Partially neutralized sodium salt of bis hexamethylene triamine penta
(methylene phosphonic acid) BHMTPH·PN(Na2)
- 别名: 二己烯三胺五亚甲基膦酸钠
- CAS No.35657-77-3
- 分子式 C17H42O15N3P5Na2 相对分子质量:731
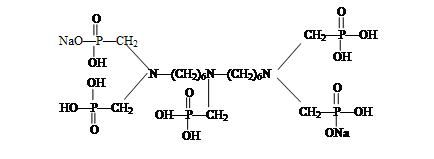
- 结构式

- 一、性能与用途:
- BHMTPh·PN(Na2)是高效的螯合型阻垢剂,对碳酸盐垢和硫酸盐垢具有良好的阻垢效果。在较宽的pH范围和120℃高温下有极佳的水溶性和热稳定性,对钙离子容忍度高。本产品是油田水处理中的缓蚀阻垢剂,工业循环冷却水和锅炉水的阻垢缓蚀剂。
- 二、技术指标
- 三、使用方法
- 单独使用或与聚羧酸型阻垢分散剂配合使用。
- 四、包装与贮存
- BHMTPh·PN(Na2)用塑料桶包装,每桶25Kg或根据用户需要确定。贮于室内阴凉处,贮存期为十个月。
- 五、安全防护
- 本产品为弱酸性,操作时注意劳动保护,应避免与皮肤、眼睛等接触,接触后用大量清水冲洗。
| 项 目 | 指 标 |
| 外 观 | 深棕色液体 |
| 活性组分(以BHMTPMPA计) /% | 35.0~39.0 |
| pH值(1%水溶液) | 2.5~4.5 |
| 密度(20℃)/g·cm-3 | 1.21~1.31 |
| Fe含量(以Fe计) /mg·L-1 | ≤65.0 |
| 【双1,6-亚己基三胺五甲叉膦酸钠BHMTPHoPN相关的产品】 | |
| ○ 与有机膦阻垢缓蚀剂相关的内容 | |
| ○ 双1,6-亚己基三胺五甲叉膦酸BHMTPMPA | |
| ○ BHMTPMPA的钠盐双1,6-亚己基三胺五甲叉膦酸钠BHMTPh.PN(Na2) | |
